bat365正版唯一官网
办公系统
|
邮箱系统
首页
学院概况
学院简介
组织机构
师资队伍
学科建设
机自教研室
机电教研室
机器人教研室
专科专业
科学研究
教研课题
所获奖励
党建活动
组织机构
学生党建
党群活动
学工风采
学生活动
学生资助
心理健康
学生风采
实践教学
校内实训基地
金工实习基地
生产实习基地
实习风采
招生就业
招生工作
就业工作
毕业生风采
学院动态
学院风采
大图新闻
首页
>
学院动态
> 正文
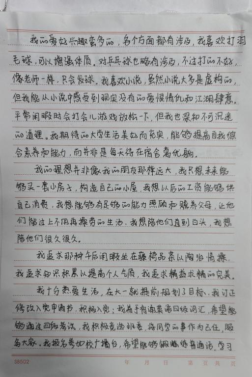
给辅导员的一封信(二)
作者:
编辑:
来源:
发布时间:2022-10-10
点击次数:
© Copyright 2016 . All Rights Reserved.bat365【正版】唯一官网版权所有
鄂ICP备19016608